[Người Nuôi Tôm] – Trong bối cảnh chi phí thức ăn tăng và lợi nhuận giảm, việc sử dụng tảo và carotenoid làm phụ gia thức ăn chức năng đang được quan tâm như một giải pháp nâng cao hiệu suất và chất lượng sản phẩm nuôi trồng. Tuy nhiên, mối liên hệ giữa từng loại tảo, dạng carotenoid và khả năng lắng đọng ở tôm vẫn chưa được nghiên cứu đầy đủ.
Carotenoid là sắc tố tự nhiên màu cam, vàng, đỏ, có vai trò chống oxy hóa, điều hòa miễn dịch và tạo sắc tố ở thủy sinh vật. Tôm không tự tổng hợp carotenoid, phải hấp thụ qua thức ăn từ tảo hoặc phụ gia như astaxanthin, lutein, zeaxanthin. Việc bổ sung carotenoid đã được chứng minh giúp cải thiện tăng trưởng và sắc tố ở tôm thẻ chân trắng (Penaeus vannamei). Nghiên cứu của Liu et al. (2025) phân tích hồ sơ carotenoid trong thức ăn và mô tôm, qua đó làm rõ cơ chế hấp thụ và phân bố đặc hiệu của chúng.

Carotenoid từ tảo có thể tác động tới sắc tố của tôm thẻ chân trắng (Ảnh: Phạm Huệ)
Thiết lập nghiên cứu
Thí nghiệm được tiến hành trên tôm thẻ chân trắng (Penaeus vannamei) giống từ Công ty Chia-Tai Ningbo (Trung Quốc), sau 14 ngày thích nghi tại hệ thống tuần hoàn sục khí của Đại học Ningbo. Tổng cộng 540 con tôm (2,60 ± 0,20 g) được bố trí ngẫu nhiên vào 18 bể sợi thủy tinh (400 lít, chứa 250 lít nước) với mật độ 30 con/bể. Trong tám tuần, tôm được cho ăn ba lần/ngày (6 – 8% trọng lượng cơ thể) theo năm công thức: bổ sung 3% tảo Saccharina japonica (SJ), Sargassum fusiforme (SF), Neoporphyra haitanensis (NH), hoặc 0,1% carotenoid tinh khiết gồm zeaxanthin (ZT) và fucoxanthin (FX). Mỗi công thức có ba bể lặp lại. Cuối thử nghiệm, mẫu mô cơ, vỏ và gan tụy được thu thập, gộp theo bể để phân tích carotenoid và axit béo.
Kết quả và thảo luận
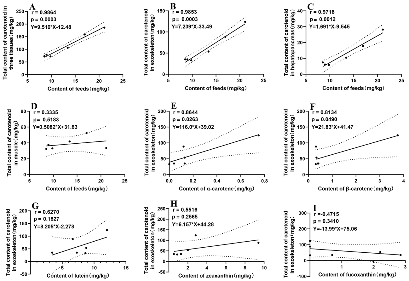
Nghiên cứu này lần đầu tiên ứng dụng công nghệ sắc ký lỏng siêu hiệu năng kết hợp khối phổ (UPLC-MS) – kỹ thuật phân tích có độ nhạy và chính xác cao thường dùng trong thực phẩm, độc chất và sinh học – để đánh giá tác động của bột tảo và carotenoid bổ sung vào khẩu phần tôm thẻ chân trắng (Penaeus vannamei). Kết quả cho thấy cả năm loại bổ sung đều cải thiện tăng trưởng, đồng thời phân tích tương quan chỉ ra mối liên hệ tích cực giữa hàm lượng carotenoid trong khẩu phần và mức tích lũy ở mô tôm, với lớp vỏ ngoài là vị trí lắng đọng chính.

Hình 1: Phân tích tương quan Pearson của hàm lượng carotenoid giữa thức ăn và tôm thẻ chân trắng P. vannamei . Tương quan giữa tổng hàm lượng carotenoid trong ba mô và thức ăn (A); tương quan giữa tổng hàm lượng carotenoid trong lớp vỏ ngoài (B), gan tụy (C), cơ (D) và hàm lượng thức ăn. Tương quan giữa tổng hàm lượng carotenoid trong lớp vỏ ngoài và hàm lượng α-carotenoid (E), β-carotene (F), lutein (G), zeaxanthin (H) và fucoxanthin (I) trong thức ăn. Chuyển thể từ bản gốc.
Trong số các chất bổ sung được thử nghiệm, bột tảo Neoporphyra haitanensis (NH) và zeaxanthin cho thấy hiệu quả vượt trội trong tích lũy carotenoid, khẳng định tiềm năng lớn làm phụ gia cho thức ăn tôm. Kết quả này không chỉ nhấn mạnh vai trò của tảo và carotenoid trong cải thiện sắc tố và giá trị thương mại mà còn mở ra hướng nghiên cứu mới về thức ăn chức năng cho thủy sản.
Ngoài ra, nghiên cứu cũng phát hiện rằng sự tích lũy carotenoid theo mô đặc hiệu chủ yếu diễn ra thông qua hai dạng: carotenoid tự do và este của astaxanthin. Phát hiện này cho thấy việc lựa chọn các loài tảo hoặc hợp chất carotenoid phù hợp có thể cho phép điều hướng lắng đọng sắc tố một cách có mục tiêu trong cơ thể tôm, từ đó không chỉ nâng cao tính thẩm mỹ mà còn tăng cường các chức năng sinh học quan trọng khác của carotenoid, như khả năng chống oxy hóa và điều hòa miễn dịch.
Hướng nghiên cứu tiếp theo sẽ tập trung làm rõ con đường sinh tổng hợp và cơ chế chuyển hóa carotenoid ở tôm, từ đó tối ưu công thức thức ăn trên cơ sở sinh lý – sinh hóa. Mục tiêu là xây dựng chiến lược dinh dưỡng chính xác, điều hòa sinh học có hệ thống nhằm nâng cao hiệu quả sắc tố và tăng trưởng.
Nam Dương (Theo Globalseafood)
- Màu nước ao nuôi tôm: Vai trò và ứng dụng của màu giả trong thực tiễn
- Thuế chống bán phá giá hạ nhiệt, tôm Việt Nam gia tăng lợi thế tại thị trường Mỹ
- MiXscience Asia: Chọn dinh dưỡng trách nhiệm hơn cho một tương lai bền vững
- Tập đoàn Thăng Long Chúc mừng năm mới Xuân Bính Ngọ 2026
- Thư ngỏ
- Công nghệ Nanobubble: Nâng cao hiệu suất tôm tại cơ sở Ras
- NANOBUBBLE VÀ PAC: Giải pháp tối ưu trong quản lý chất lượng nước ao nuôi
- Vương Quốc Anh: Thúc đẩy mô hình nuôi tôm sú trên đất liền
- Quảng Trị: Khuyến nông thúc đẩy mô hình nuôi tôm sú hai giai đoạn
- Nuôi tôm trong nhà tại châu Âu: Bài toán đầu tư và cuộc đua tìm mô hình khả thi
Tin mới nhất
T5,26/02/2026
- Màu nước ao nuôi tôm: Vai trò và ứng dụng của màu giả trong thực tiễn
- Thuế chống bán phá giá hạ nhiệt, tôm Việt Nam gia tăng lợi thế tại thị trường Mỹ
- MiXscience Asia: Chọn dinh dưỡng trách nhiệm hơn cho một tương lai bền vững
- Tập đoàn Thăng Long Chúc mừng năm mới Xuân Bính Ngọ 2026
- Thư ngỏ
- Công nghệ Nanobubble: Nâng cao hiệu suất tôm tại cơ sở Ras
- NANOBUBBLE VÀ PAC: Giải pháp tối ưu trong quản lý chất lượng nước ao nuôi
- Vương Quốc Anh: Thúc đẩy mô hình nuôi tôm sú trên đất liền
- Quảng Trị: Khuyến nông thúc đẩy mô hình nuôi tôm sú hai giai đoạn
- Nuôi tôm trong nhà tại châu Âu: Bài toán đầu tư và cuộc đua tìm mô hình khả thi
Các ấn phẩm đã xuất bản
- Giá tôm xuất khẩu tăng mạnh, tạo động lực phục hồi sản xuất và nâng tầm giá trị ngành tôm
- Gần 500 hộ nuôi khẳng định hiệu quả Advance Pro – Tiến bộ kỹ thuật của Grobest
- Người nuôi tôm phập phồng với “ngày nắng, đêm mưa”
- Động lực phát triển đột phá ngành thủy sản
- Công nghệ sinh học toàn diện: Giải pháp nuôi tôm thành công từ Tâm Việt
- Biện pháp kiểm soát khí độc Nitrite (NO2) trong mô hình nuôi tôm TLSS-547
- Ngành chức năng và nông dân Quảng Nam cùng gỡ khó cho nuôi tôm nước lợ
- Thời tiết bất lợi gây thiệt hại hơn 27 triệu con tôm sú, tôm thẻ nuôi
- [Tuyển dụng] – Công ty TNHH Seven Hills Trading tuyển dụng nhiều vị trí hấp dẫn trong năm 2025
- Nhiều diện tích tôm nuôi của Nghệ An bị bệnh đốm trắng
- An toàn sinh học: Giải pháp then chốt cho bài toán dịch bệnh thủy sản
- Sử dụng sóng siêu âm để tính sinh khối ao nuôi tôm
- Máy sưởi ngâm: Cách mạng hóa nghề nuôi tôm ở Việt Nam
- Waterco: Giải pháp thiết bị hàng đầu trong nuôi trồng thủy sản
- GROSHIELD: “Trợ thủ đắc lực” giúp tôm đề kháng vững vàng hàng ngày, sẵn sàng về đích
- Năm mới, nỗi lo cũ: “Làm sao để tăng cường đề kháng cho tôm?”
- Vi sinh: Giải pháp mục tiêu toàn diện
- Grobest Việt Nam: Tiên phong ra mắt sản phẩm thức ăn chức năng hàng ngày Groshield, nâng cao tối đa sức đề kháng, hướng đến những vụ tôm về đích thành công trong năm tới
- Solagron Vietnam: Nhà sản xuất vi tảo công nghiệp đầu tiên mang dấu ấn Việt Nam
- Giải pháp giảm phát thải trong nuôi trồng thủy sản từ bột cá thủy phân




















